Inflation and dark matter are not like string theory
- There are a great many ideas that have come along in recent years and decades to try to advance our notions of fundamental physics: grand unification, supersymmetry, extra dimensions, a composite Higgs, etc.
- Some of these ideas were initially motivated by observations that came along without explanations, like dark matter and dark energy, while others were motivated largely from initially mathematical concerns, like string theory.
- Today, although all of them have their detractors, inflation and dark matter have a ton of indirect evidence supporting their validity, while string theory lacks any such evidence. That’s really, really important.
There are two things that never seem to fall out of fashion when it comes to theoretical physics: people proposing wild new ideas that attempt to make sense of the Universe, and people declaring that some of the best and most well-established theories must be wrong. Physics is generally a conservative science, where the broader community is slow to accept anything novel unless the evidence supporting it becomes so overwhelming that all of the alternatives become untenable. Many grand ideas have come along in recent years, including:
- grand unified theories,
- extra dimensions,
- the notion that the Higgs is a composite particle,
- supersymmetry,
- dark matter,
- dark energy,
- cosmic inflation,
- and string theory,
among many others. However, nearly all of these ideas remain in the speculative category, as the critical evidence supporting their existence is sorely lacking.
That’s why it’s so frustrating, as a scientist, to hear so many proclamations that dark matter, dark energy, and/or cosmic inflation either don’t exist or never occurred. Sure, the other five items on the list (along with numerous others) may be speculative and without any experimental or observational evidence to support their relevance to reality, but dark matter, dark energy, and cosmic inflation are in a completely different category: one where the full suite of available evidence greatly favors their existence. Here’s why dark matter, dark energy, and inflation are fundamentally not at all like string theory, and why even if you have a contrarian streak to you, you should be reluctant to throw those three ideas away.

Although it’s often not in the forefront of our minds, it doesn’t often — or really, ever — happen that a new idea comes along, evidence-free, and is overwhelmingly accepted by the broader scientific community. Even extremely popular extensions to the Standard Model remain firmly only in the realm of the speculative, where they’ve always lied and where they will always lie, until an enormous supporting suite of evidence comes along to validate them. We’ve come far enough in many scientific fields, including physics and astrophysics, that we already have generally accepted theories that account for nearly all of the physical phenomena we measure and observe.
If we want to surpass and go beyond those ideas, there are three hurdles that any alternative idea must clear in order to supersede our current ways of thinking.
- A new theory must successfully reproduce and be compatible with all of the old, prior theory’s successes: making the same sets of powerful predictions across every fathomable scenario where the data has been decisive.
- The new theory must also explain at least one puzzle or phenomenon that the old theory cannot explain; this is usually the motivation for such a new theory or idea.
- And finally, the new theory and old theory must be held up against one another, and differences must be teased out between them. Then, a critical test must be performed, determining whether nature behaves the way the old theory or the new theory would indicate.

Historically, one of the greatest examples of this in history is the arrival of Einstein’s general relativity, which superseded and replaced Newton’s law of universal gravitation as humanity’s best theory of gravity in the 1910s. Einstein completely reformulated the way we looked at gravity, replacing the idea that all masses attracted one another instantaneously through a force that traverses the distance between them — which was inconsistent with special relativity — with a vastly different view. Instead of absolute space, we had a malleable four-dimensional fabric of spacetime. Instead of the shortest distance between two points being a straight line, it was a geodesic, which could be curved. Instead of gravity happening instantly, it proceeded only at the speed of light. And instead of mass determining gravity, all forms of energy contributed, with mass being just one factor: through E = mc².
Importantly, however, Einstein’s theory cleared those critical three hurdles. First, Einstein showed that in the weak field limit, at large distances from masses, his theory recovered Newton’s gravity, with the same ~1/r² force law as the universal law of gravitation. Second, Einstein showed that his theory could explain the already observed anomalies in the precession of Mercury’s orbit: something Newton’s theory couldn’t explain. And third, Einstein devised several tests of his theory where predictions differed from that of Newton’s gravity, including the deflection of starlight by the Sun during a total eclipse. Measured exquisitely during the eclipse of 1919, this sealed the deal, and Einstein’s general relativity has been humanity’s leading theory of gravity ever since.

This isn’t true, for example, for a theory like string theory. String theory is a fascinating idea in a great many ways, and due to a large number of extremely promising features, has attracted an enormous amount of interest from scientists who study nature at a fundamental level for more than four decades now. Among the attractive features of string theory are the following.
- It contains the full Standard Model, including all of the known particles and antiparticles along with their properties and interactions, within it.
- It also contains all of general relativity within it, including the notion of curved spacetime and the relationship between stress-energy and the response of spacetime itself.
- It provides a framework for exploring quantum gravity: one of the strongly-suspected features of our Universe that has so far remained elusive.
- And, by working within the framework of string theory, one can find many straightforward applications of the mathematics that do have relevance to solving problems about our actual, physical Universe.
However, these are not the only features of string theory, and not all of its features are exactly welcome to the mind of physicists.

For one, although string theory contains the Standard Model and general relativity, it also contains a lot of unwanted relationships and properties that don’t appear to be reflected in the Universe we have. For example, string theory predicts:
- a whole host of extra, including supersymmetric, particles,
- at least six additional dimensions,
- a tensor-scalar (Brans-Dicke) theory of gravity, rather than a tensor (Einstein) theory,
- a fundamentally unstable proton that should decay,
and many other phenomena that, to put it lightly, have never been observed in the lab, in space, or in nature in any way.
For another, everything relevant to our Universe that can be calculated using string theory — even if the calculations are arguably more elegant, easier, or superior if done using the string theory framework — can also be calculated using standard four-dimensional quantum field theory based on the known fundamental forces. There are no “extra” things that are unique to string theory that come out of the theory that don’t also come out of already known, established physics.
Although such phenomena might exist, they have not yet been uncovered in any way that even approaches testability in our Universe, either with current or foreseeable future technology. Without such corroborating evidence, string theory can only rightfully be treated as a speculative idea, no matter how compelling some find it.

However, this is not the case at all for dark matter, dark energy, or inflation. In all three of these cases, a similar story has arisen. First, the Standard Model of both particle physics and cosmology — where you have the known particles and interactions operating in an expanding Universe that started with a hot Big Bang and the known ingredients of “normal” forms of matter and radiation — despite its tremendous successes on a variety of scales and under a wide selection of conditions, has a few areas where the standard picture doesn’t add up. There’s a mismatch between what’s predicted and what’s observed, and that mismatch absolutely needs to be addressed.
Whether those concerns can be addressed by adding:
- a new species of matter (dark matter),
- a new species of energy (dark energy),
- or a new phase to the Universe’s history (cosmic inflation preceding and setting up the hot Big Bang),
is specific to which problem/puzzle is being considered. However, in all three cases, the same set of criteria needed to apply. The successes of the standard model without these ingredients must be preserved even with these new ingredients present. The puzzle(s) that couldn’t be explained without these ingredients must be successfully explained by the presence of these ingredients. And finally, and arguably most importantly, there must be new predictions made — with and without these ingredients — that differ from one another, and then we must go out and measure the Universe to see how reality stacks up with our predictions.

Let’s start with dark matter. It was originally proposed in the 1930s to explain why galaxies within galaxy clusters appear to zip around inside those clusters with such great speeds: greater speeds than the observed mass of those clusters could accommodate. Later, in the 1960s and 1970s, the rotation profiles of individual galaxies were also shown to be inconsistent with the amount of normal matter within them alone.
Dark matter was proposed to solve this problem, while its diffuse and non-clumping nature would preserve both small-scale (terrestrial and Solar System) physics as well as large-scale (cosmological) ideas such as the Big Bang. However, if dark matter were ubiquitous, it would lead to a whole host of new predictions, including:
- galaxy-galaxy correlations,
- acoustic peaks in the cosmic microwave background,
- gravitational lensing features of galaxy clusters,
- and a separation between normal matter and dark matter in colliding clusters,
along with many others. In addition to being consistent with general relativity and our pre-existing cosmic picture of the Universe, dark matter explained these puzzles about galaxy clusters and about individual galaxies, while also predicting an enormous variety of cosmological impacts that have since been borne out by observations. While it’s true that direct detection experiments haven’t succeeded in finding dark matter, that does nothing to detract from dark matter’s successes in accurately describing the phenomena in our Universe.

Next is dark energy. For nearly all of the 20th century, one of the main quests of astrophysicists who studied the expanding Universe (first revealed in 1927) was to measure both the expansion rate of the Universe, today, as well as how that expansion rate changed over time. Beginning in the 1990s, evidence started to accumulate that there wasn’t just matter (both normal and dark) and radiation (both photons and neutrinos) in the Universe, but some extra component that exhibited a novel behavior: causing a late-time acceleration of distant objects. This component was swiftly dubbed dark energy, and has been with us ever since.
Dark energy was postulated to explain the fact that very distant type Ia supernovae appear fainter than a dark energy-free Universe would predict, but many alternative explanations were also floated. These included:
- the presence of a new form of dust,
- photon decay or some form of tired light,
- photon-axion oscillations as they propagate through the Universe,
- as well as “switch on” or “decaying” models.
With better observations, all of these alternatives were ruled out. Meanwhile, a new set of predictions came along with a dark energy-rich Universe, including:
- a new age for the Universe (and hence, a maximum age for the stars within it),
- a specific set of features in large-scale structure and CMB data,
- and specific clustering properties for galaxies across cosmic time,
were all teased out of the theory. As of 2024, even with the latest DESI data, the evidence for dark energy remains overwhelming; only its specific properties and its underlying nature are presently debated.

And cosmic inflation, despite how speculatively it’s treated by many, is arguably the most robust and well-established of any of these options. Cosmic inflation first came about because of the Big Bang’s inadequacy in predicting the spatial flatness, uniform temperatures and densities, and lack of high-energy relics that our Universe exhibits. It was recognized that an early “inflationary” phase that preceded and set up the hot Big Bang could explain these properties, but could it both reproduce the non-inflationary Big Bang’s successes and also make novel predictions that differed from the non-inflationary Big Bang’s?
The answer was “yes” on both fronts, although it wasn’t obvious. In order to reproduce the non-inflationary Big Bang’s properties of an isotropic (same in all directions) and homogeneous (same in all locations) Universe, cosmologists had to solve the graceful exit problem, which was done theoretically with both new inflation and chaotic inflation models. Then, over the 1980s and 1990s, several predictions were teased out about the quantum fluctuations that occurred during inflation and were stretched across the Universe, imprinting both scalar (density/temperature) and tensor (gravitational wave) features on cosmic scales.
The scalar ones have been now verified in many realms, including:
- nearly (but not perfectly) scale-invariant fluctuations,
- that are slightly (~3%) larger on large cosmic scales than small cosmic scales,
- that are 100% adiabatic (isentropic) and 0% isocurvature in nature,
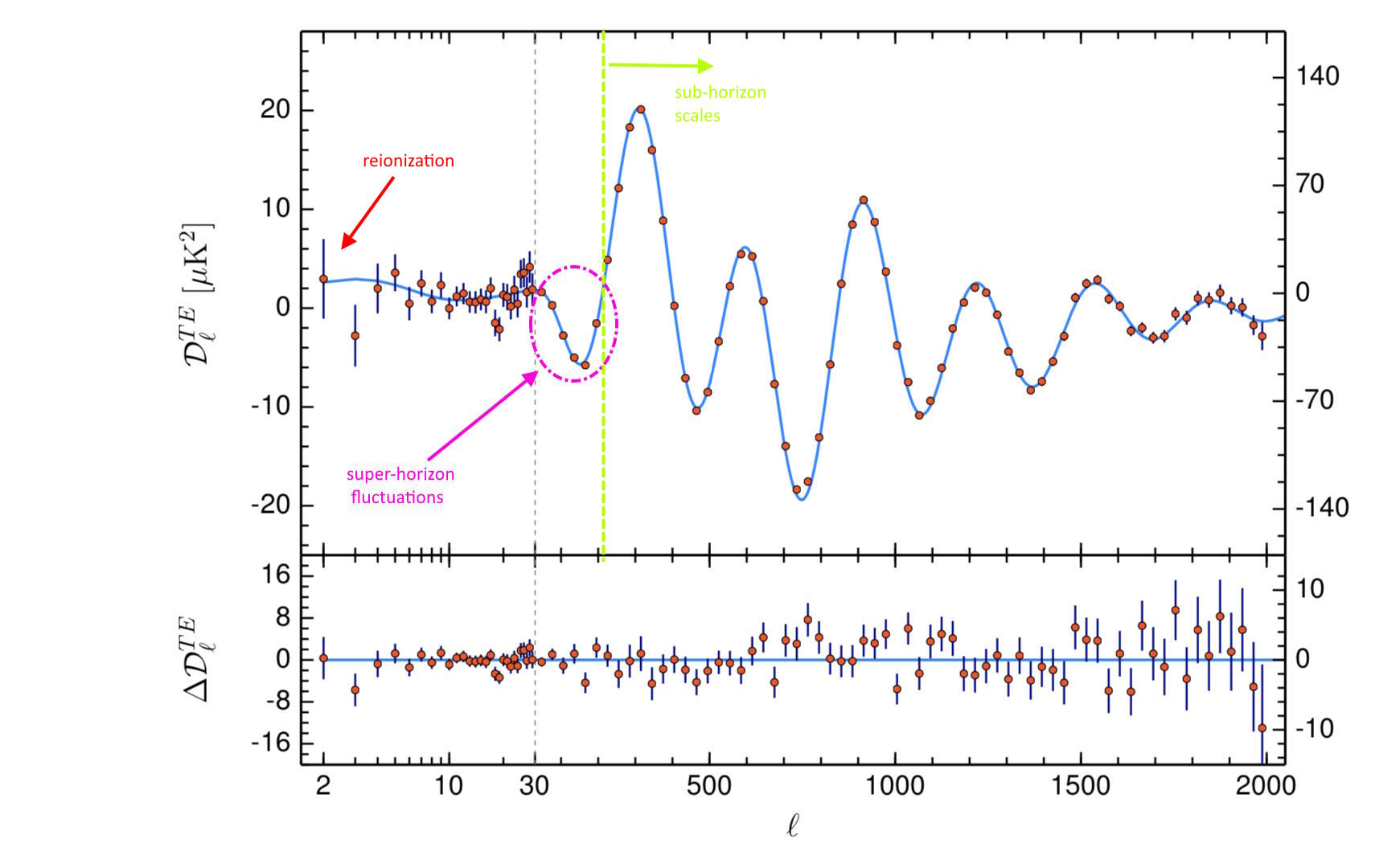
- where fluctuations are observed on scales larger than the cosmic horizon (super-horizon fluctuations),
- and where the hot Big Bang never gets arbitrarily hot, but only reaches a maximum temperature that’s well below the maximum possible (Planck) temperature.
Although inflation’s detractors often point to the lack of detected tensor (gravitational wave) fluctuations detected so far, again, that would be a “nice to have” feature, not one that’s mandatory for validating the new theory. Since the early WMAP results more than 20 years ago, inflation’s validity status hasn’t been in doubt from a scientific perspective.

It’s easy to find people who are disillusioned with string theory for precisely the reasons stated above; it doesn’t solve data-driven puzzles and it doesn’t make unique predictions that lead to testable observables. Many of string theory’s great detractors are themselves former string theorists, because they had “believed” in something where the weight of the scientific evidence was completely agnostic about their beliefs. That’s justifiable and easy to understand, and people who’ve gone down these routes receive a lot of sympathy from the community, including from me.
However, many of those detractors have then gone on to stake out contrarian positions on other topics. This doesn’t just include other topics where there’s no supporting evidence: supersymmetry, technicolor, extra dimensions, grand unification, and so on. Often, those who are contrarians stake out contrarian positions in situations where there’s a great weight of supporting evidence, including about dark matter, dark energy, and cosmic inflation. This is, to put it bluntly, a very bad leap of faith, and is incredibly destructive to the public understanding of science.
You may doubt many of the established theories of our time; doubting is part of the scientific process. You may freely explore alternatives to the mainstream and pursue ideas that haven’t met all (or even any) of the three critical hurdles for a new scientific theory to supersede the existing ones; that exploration is critical to making advances. But when you try to persuade others that the mainstream point of view is wrong and that your preferred alternative is instead correct, you had better have your house in order — and your evidence in hand — before you begin down that road. Otherwise, you’re just peddling contrarianism without the data to back it up. That might fly in all sorts of arenas of life that rely on persuasion, but in the realm of science, reality is the only laboratory that matters.