We know, instinctively, that when we see something that appears small in our field of vision, there are multiple possibilities. It could be an intrinsically small object that’s close by, a medium-sized object that’s an intermediate distance away, or a very large object that’s a large distance away. It’s why a bird, a plane, and the Moon can all appear to be the same size in our field of vision, taking up the same angle on the sky — what astronomers refer to as angular diameter — despite their vastly different intrinsic sizes. It’s simple geometry: an object twice as far away appears to have half the size, and apparent size decreases as distance increases.
But that’s assuming that the geometry of the Universe is fixed, grid-like, and Euclidean. In our actual, expanding Universe, things aren’t so simple, and that’s why Doug Plata writes in to ask about how Andromeda, or an Andromeda-sized galaxy, would appear to us if we viewed it at different epochs throughout cosmic history:
“[I]f you had a galaxy that was the exact size of the Andromeda Galaxy, at Andromeda’s distance it would have the same arc width as we see it today. Put that same galaxy farther out and it would be smaller. But, put it all the way out to the very farthest reaches of the universe and it would be close to the Big Bang. Yes, the space between galaxies is expanding. So, if you go far back in time, the galaxies should be closer together and yet their closeness would span all 360° of the sky. So, wouldn’t an Andromeda-sized galaxy visually start to spread out and appear quite large?”
Surprisingly, the answer is yes, once you look back far enough, the same-sized object, after decreasing in apparent, angular size down to a point, gets larger again. Here’s the shocking science of how.

Have you ever held two fingers up close to your eyes, looked at someone nearby, and pretended to squish their heads? This game, a longtime favorite among young children, only works because of the mathematics of angular size.
Unlike physical size, which is the fixed size of a solid object, the angular size of an object can be changed by moving it closer to or farther away from you. A ruler that’s 12″ (30 cm) long will appear to be the same length as a 36″ (90 cm) yardstick that’s three times farther away, as a consequence of perspective. This same concept applies not only to any object viewed here on Earth, but anywhere in the Universe as well.
The angular size of anything, from rulers to galaxies, is dependent on both the actual size of the object and its distance from us. That’s often why, when we measure objects located very far from us and infer their distance — based on how large they appear to be to our eyes relative to their inferred intrinsic size — we call that their “angular diameter distance.” Objects, or collections of objects, that can be used to infer distance across the cosmos are often referred to by astrophysicists as “standard rulers.”

You might think, quite naively, that the size you perceive an object to be will simply depend on its actual size and its distance from you. That if you took an object like the full Moon, which takes up 0.5° on the sky at its current distance of ~380,000 km, and moved it a thousand, million, or even a billion times farther away, it would take up a thousandth, a millionth, or a billionth of its present angular size. This assumption is reasonable, but it’s based on an assumption that most of us make without even thinking about it: that our Universe obeys the same rules that Euclidean geometry sets forth.
And this actually would be true if our Universe were static, spatially flat, and unevolving with time!
But that description doesn’t fit our Universe at all. Quite to the contrary, the Universe itself is expanding, and doing so with an expansion rate that changes over time. If we want to understand how what we measure as “angular size” actually works as a function of distance, our naive approximations only work on small scales: where the effects of cosmic expansion and its evolution (because the expansion rate changes with time) can be ignored.

Despite what many assert, the Universe itself is expanding, and this is a fact that was observationally established way back in the 1920s: nearly a full 100 years ago. Early on in our cosmic history, radiation was the dominant factor, and the energy density dropped as both the volume increased and the wavelength of that radiation was stretched. Eventually, the radiation density dropped below the matter density, and the Universe became matter-dominated, where the matter density is only affected by the growing volume of the Universe. This was the case from the time the Universe was about ~9000 years old until relatively recently: about 7.8 billion years after the hot Big Bang.
Then, about 6 billion years ago, the matter density, which had been dropping in proportion to the increase of the Universe’s volume, finally dropped below the energy density of a different component: dark energy. Because dark energy behaves as though its energy density is constant, even as the Universe expands, its effects must eventually come to dominate over the effects of matter. A wide suite of evidence supports this cosmic picture, but this ever-changing expansion rate affects not only how distant various objects actually are from us, but also how large — in terms of angular size — those objects then appear to be.

There’s a relatively easy way to visualize this for yourself: imagine that the object you’re looking at is simply made of two lights, where one light is located at each end of an otherwise invisible rod. If the Universe you inhabited were flat and unchanging, the angle by which you saw those two lights separated would be directly related to the distance between them and their distance from you. It would be simple Euclidean geometry, where if you doubled the distance between you and the lights, the angular size that those lights were separated by would halve. There would be no effects other than those of simple geometry, and how rays of light scale with distance.
But if you instead inhabited a Universe that was evolving in shape and size over time — such as our actual expanding Universe, which consists of radiation, matter, and dark energy — you have to take that size-and-shape evolution into account as well. You have to look at the paths that individual photons follow as they journey throughout our evolving spacetime, and remember this very important piece of the puzzle: the same sized object, billions of years ago, took up a greater proportion of the Universe’s volume than the same object would occupy at later times.

It turns out that the type of Universe you have, determined by its expansion rate and the relative amounts of the different types of matter-and-energy that it possesses, can dramatically change how an object’s apparent angular size changes with time.
- If all we had was a static Universe, the angular scale of objects would appear progressively smaller the farther away you went, exactly the way you’d naively expect according to Euclidean geometry: apparent size is inversely proportional to distance.
- If you had an expanding but empty Universe, that corresponds to a Universe that grows linearly with time: where “half of the age of the Universe ago” the Universe would have been half the size it is today. As you place the same object farther and farther away, it approaches a minimum, non-zero size, but never appears to shrink to “zero size” even at infinite distances.
- If we had an expanding Universe with nothing but matter in it, the angular scale would get progressively smaller in a quantitatively different fashion, but would, because the Universe was smaller in the past, achieve a minimum angular size when the Universe was about one-third of its present age. Beyond that, because the Universe was smaller, denser, and expanding more rapidly, that same object would start to appear larger again.
- But what we actually have is a Universe filled with dark energy, the angular scale does something very different. The farther away you look, the same-sized object looks smaller and smaller, but only to a point that corresponds to an earlier age: when the Universe was only about one-quarter its present age.
Beyond a certain critical point, in a Universe with either matter or a mix of matter-and-dark energy within it, an object will actually start to look bigger again.

You might think, when you look at a deep-field view of the Universe (such as the above deep-field image from JWST), that the smallest galaxies would also be the most distant ones. That if you had a galaxy that was the same size as our Milky Way — about 100,000 light-years across — the farther away it is from us, the smaller it would appear.
It turns out that’s true, but only up to a point: a point that many of the above JWST galaxies go far past. In our dark energy-dominated Universe, the Milky Way would take up a little more than 2 degrees on the sky if you put it at the same distance that the Andromeda galaxy is: about 2.5 million light-years. The farther away it got, the smaller it would appear, down to a minimum size of just 3.6 arc-seconds, or around 0.001 degrees.
That minimum angular size corresponds to a distance of about 14.6 billion light-years: a large distance, to be sure. That corresponds, in our expanding Universe, to an object whose light is redshifted by a factor of about 1.5, or light whose wavelength is stretched to be ~150% longer than it was when it was emitted. But our observable Universe goes out farther than that: to about 46 billion light-years in all directions, and the most distant galaxies seen, to date, have their light redshifted by a factor of 13.2, or stretched to be ~1320% longer than when it was first emitted.

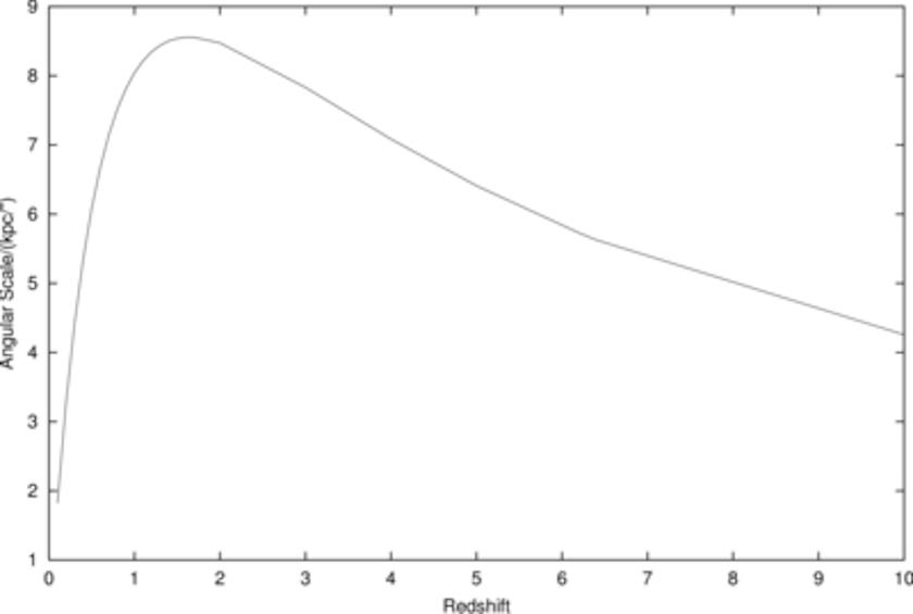
We can choose to think about the Universe the same way astronomers do: to note that the sky, no matter how far back we look, always has the same number of square degrees to cover it from our perspective. Although the number of square degrees always remains constant (at around 40,000), the physical sizes that those angular scales correspond to actually change with distance.
A typically small angular scale is one arc-second (1″), which is 1/3600th of a degree. An arc-second represents the Earth-Sun separation that we’d see if we stood one parsec (about 3.26 light-years) away. But when we talk about cosmic observables in terms of what we can directly measure, that doesn’t actually include “distance” as one of them. We don’t directly measure distance, but rather redshift, which we get from seeing how significantly the spectral lines universal to all atoms and ions are shifted.
Going farther and farther away, we see that progressively more parsecs (up to a maximum of about 8,700) fit into 1″, with the maximum occurring at a redshift of ~1.5, or a distance of ~14.6 billion light-years. Beyond that distance, the same-sized object will actually take up larger angular sizes.

This illustrates an incredibly bizarre phenomenon that’s incredibly useful to astronomers: if you can build an observatory that can take high-resolution images of galaxies that are 14.6 billion light-years away (at a redshift of z=1.5), then it can take even higher-resolution images of any galaxy in the Universe.
One of the “dream observatories” that astronomers had someday hoped to build was the proposed LUVOIR space telescope. In its most ambitious format, the proposal was to put an observatory with a 15-meter diameter primary mirror in space. With that kind of power, it would have been able to achieve an angular resolution of about 10 milli-arc-seconds, or one hundredth of a single arc-second of angular size. Even for the smallest-appearing galaxies that would be at that distance of 14.6 billion light-years away, a telescope that large would still correspond to physical sizes that reach a minimum of somewhere between 300 and 400 light-years.
That means, if we were to someday construct a space telescope of that size, we’d be able to resolve individual star clusters and star-forming regions that are 300-400 light-years or larger: for every single galaxy observable within our Universe.

There’s an important lesson here: the length of our cosmic “ruler” really does change with time. Looking back from where we are now, objects first appear to get smaller the farther away they are, then they approach and reach a minimum angular size, and then they appear to get larger again. It’s a counterintuitive but remarkable fact about our expanding Universe.
If you want to know how large an object actually will appear within the expanding Universe, you need to know not only its intrinsic physical size, but the physics of how the Universe expands over time. In the Universe we actually have — which is composed of 68% dark energy, 27% dark matter, 5% normal matter and about 0.01% radiation — you can determine that objects will appear smaller the farther away they get, until the fact that the Universe was smaller in the past causes them to appear larger once again the farther away you look.
It might surprise you to learn that when we examine the most distant galaxies of all, such as JADES-GS-z13-0, they actually appear to be twice as large as similarly-sized galaxies that are only half of that distance away from us. The farther away we look, beyond a specific critical distance, objects actually appear larger the farther away they get. Even without gravitational lensing, objects within the expanding Universe may actually appear larger at great distances than you’d otherwise think!
Send in your Ask Ethan questions to startswithabang at gmail dot com!