One of the most exciting things that can happen to a scientist is the discovery of evidence that appears to contradict the predictions of the leading theories of your field. In some cases that you can imagine, the evidence would immediately be revolutionary. For particle physics, that would be like seeing strong, direct evidence of a new fundamental particle that was not predicted by the Standard Model. For astronomy, it would be like discovering a massive, evolved galaxy whose stars were twice the known age of the Universe. And for biology, it would be like watching a creature give birth to an organism that was an entirely different species than its parent.
But in most cases — particularly in a mature field of science that’s accumulated and successfully accounted for an enormous suite of facts and knowledge — these apparent contradictions will turn out to have a mundane explanation behind them, not a revolutionary one. In recent years, many have been claiming that there’s a crisis in cosmology, and that in particular a series of observations, including:
- the fact that different methods of measuring the expansion rate yield different results,
- that big, bright, evolved galaxies appear seemingly too early in JWST data,
- and that predictions from dark matter simulations don’t match the internal motions of stars within galaxies,
all point to a coming, and necessary, scientific revolution. Despite what you might have read recently, however, this is a minority opinion — even a fringe opinion — in the field of cosmology. Here’s the truth about where our current understanding is.

The current consensus picture
For right now, at least, the “standard model of cosmology” is relatively simple and straightforward. Sometimes known as “ΛCDM” (for Λ, a cosmological constant, plus CDM, or cold dark matter) to some, it contends that our Universe, as we know it:
- began with a hot Big Bang some 13.8 billion years ago,
- that itself was set up and preceded by a period of cosmic inflation,
- where the initial conditions were a scale-invariant spectrum of density fluctuations atop an otherwise uniform background,
- where the Universe was filled with matter, energy, and radiation,
- where it began expanding and cooling very quickly, but then was slowed by gravitation over time,
- which led to the Universe we observe today: full of stars, galaxies, galaxy clusters and cosmic voids,
- and is now made up of ~5% normal matter, 27% dark matter, and 68% dark energy,
as far as we can tell.
This picture explains and accounts for what are traditionally known as the four cornerstones of cosmology:
- the observed expansion of the Universe,
- the abundance of the light elements (created by nuclear fusion in the early stages of the hot Big Bang, before any stars were formed),
- the cosmic microwave background (a leftover background of radiation remaining from the Big Bang),
- and the web-like large-scale structure of the Universe, including how galaxies clump and cluster together.
If we know the laws of physics and we can set up the initial conditions that the Universe began with, we should be able to predict all of the cosmic phenomena that occur in all the time that’s passed since.

Most of the time, our observations agree spectacularly with the predictions of our ΛCDM cosmology, the inflationary hot Big Bang, and Einstein’s General Relativity as our theory of gravity. But every once in a while, we observe things that appear to contradict those predictions, and that’s always worth further investigation. Some important details to look at include:
- Are cosmic events unfolding in the order that our theories predict they should unfold?
- Is the “amount” of stuff that’s occurring — from the gravitational growth of matter to the production of ultraviolet photons from stars — consistent with what theory predicts?
- Are the types of structures that form, from tiny galaxies to large ones to groups and clusters of galaxies to large-scale cosmic filaments, aligned with or in conflict with what theory predicts?
- Do the features that we observe in our relic cosmic signals — like correlation length scales in the clustering of galaxies and the size and magnitude of temperature fluctuations in the cosmic microwave background — match or disagree with the predictions of our consensus cosmological model?
In general, there’s a lot of effort that goes into quantitatively predicting what signals we expect the Universe to produce, including details such as “when” and “how much” are those signals produced, and an equal amount of effort that goes into observing the details of our Universe that reveal those answers.

There’s also a perilous caveat that we have to keep in mind, one that was correctly pointed out in a guest essay in The New York Times: the science of cosmology is not a laboratory science where we can control the parameters of an experiment. Instead, it’s an observational science: where we can make theoretical predictions, but then have to go and look at the face of the Universe itself for the corresponding evidence.
When our theories make an explicit prediction for what should definitively be out there, in a certain amount at a certain time, that’s a very powerful prediction, and one that simply observing the Universe can confirm-and-validate or refute-and-invalidate. If our theory and the Universe itself disagree, the theory itself is in trouble.
But if our theory only makes a probabilistic prediction — e.g., there’s only a certain chance of an event or a confluence of outcomes occurring — then either observing the presence or absence of a feature has limited information. We’d either have to observe something colossally unlikely or not observe something that was all-but-mandatory to question the underlying cosmological model. Observing only a modestly unlikely outcome might easily be what we call the result of “cosmic variance,” or the notion that since we only have one Universe to observe, we’re likely to observe a mix of common, uncommon, and even a smattering of very rare events when we observe the Universe itself.

Clues, cracks, or crisis?
Each time you notice something that doesn’t quite align with the predictions of the leading theory, you absolutely must take note of it. At present, there are a few mysteries that are notable when it comes to cosmology: things we observe but don’t have a fully satisfactory explanation for. These mysteries include:
- the presence of dark matter,
- the presence and strength of dark energy,
- the predominance of normal matter over normal antimatter in our Universe,
- and many specific details about cosmic inflation, the phase of the Universe that preceded and set up the hot Big Bang.
However, the existence of mysteries, or things we can’t fully explain and account for, isn’t the same as noticing phenomena that appear to conflict with our standard cosmic picture.
Those conflicting phenomena — where either observations conflict with theory or where different observations conflict with one another — are the subject of practically every “science in crisis” piece you’ll ever read. (I myself wrote a commentary on one such paper that enumerated 8 points of crisis earlier this year.) However, not every conflict results in a crisis; in fact, most of them don’t. The overwhelming majority of the time, what you’re seeing is merely either a small crack in our understanding, or is even less significant: a potential clue of new physics that may evaporate once superior data, or better theoretical work, arrives.

Whenever one of these points of tension come up, where something that we’ve observed appears to be in conflict with something we’ve predicted, we have to ask ourselves a series of hard questions. How certain are we of this observation, and if we were to observe the Universe either in better detail or by taking a larger sample of it, can we be certain that this observation would hold up? How sure are we that we’ve correctly identified and calculated all of the relevant physics? Could including effects that we’ve previously ignored resolve the apparent discrepancy? And have we estimated and quantified our uncertainties correctly and properly? Or are there sources of error that could be biasing us toward a suspect conclusion?
Depending on those answers, it might be convenient to divide those apparent conflicts into three categories: clues, cracks, and crises.
- Clue: this is perhaps the weakest stage where we still have substantial evidence of a conflict between what we expect and what we’ve seen. A clue seems to point toward, “something potentially interesting may be going on here,” but we needed stronger data and a better understanding of the theoretical inputs that go into the relevant calculation to know for sure.
- Crack: once you’ve played the whack-a-mole game of searching for errors, reducing your uncertainties, checking that all plausible theoretical inputs are sufficiently accounted for, etc., you may find that discrepancy still exists. This is now more interesting, as your result is robust and has reached a large statistical significance with no known systematic errors that can account for the difference.
- Crisis: this is where multiple different cracks, ideally three or more, all point to a problem with the same aspect of your consensus model. The need for extra gravitational mass on galactic, cluster, and cosmic scales led us to propose dark matter; that was a crisis. The bevy of unexplained initial conditions was a crisis for the Big Bang without inflation. And the confluence of supernova data, large-scale structure data, and cosmic microwave background data that pointed away from a matter-rich Universe and toward one containing dark energy was a crisis.

When you have a crisis, you’re often on the cusp of a scientific revolution. When all you have are a few unrelated cracks, you might be approaching a scientific revolution, but you might also just have a few minor oversights to correct on either the theory or the observation side. And if all you have are a series of clues, you’re still in the infant stages of uncovering whether your foundation is solid or not.
There are many different pieces of evidence that one can point to in their effort to bring about a scientific revolution. For cosmology:
- Do various cosmic events happen at the right time and in the right amounts? This includes the formation of the earliest stars and the reionization of the neutral atoms in the space between galaxies, the assembly of the earliest galaxies and galaxy clusters, and the shape that the cosmic web takes over time.
- Are the details of what we expect should happen as far as mass and gravitation go borne out in detail? This probes our observations of galaxies within galaxy clusters, of gravitational lensing data, of objects within and in orbit around individual galaxies, and of the motions of individual stars with respect to one another.
- Do the various ways of measuring cosmological parameters, such as the amount of normal matter, dark matter, dark energy, and the expansion rate of the Universe, all agree with one another, or are there conflicts between various methods?
- And do the detailed properties of the cosmic microwave background, including temperature fluctuations on different scales, the way those fluctuations are correlated, and polarization properties, agree with what theory and simulations predict?
These are four broad areas that are considered by many when looking at both the successes and failures of our standard ΛCDM cosmological model.

The burden of proof
It’s almost unbelievable how easy it is to improve how well your model matches a piece of data. All you have to do is add one (or more) new free parameter(s) — a way to tweak your theory’s predictions — and you can almost certainly arrive at a better fit to the data you’ve acquired. This method has led to a wide range of new ideas in physics, including in cosmology, such as:
- time-varying fundamental constants,
- a modification to Newton’s laws of gravitation,
- new fields or particles or phenomena that play a role early on, but then later decay away,
and so forth. It’s very easy to concoct new scenarios like this, but unless they offer greater predictive power than the current model, predicting new phenomena that the current model does not, that we can then go out and search for, these ideas are simply theorists playing in the metaphorical sandbox of ideas.
Besides, if our current, prevailing theories are truly successful, we won’t need these modification; they won’t be any more successful at explaining:
- what’s already established,
- what’s currently under scrutiny,
- and what we’ll uncover in the future,
than the current theories do. The best thing to do isn’t to prematurely declare a “crisis” with insufficient evidence; it’s to stress-test the current consensus model as robustly as possible.

And those are precisely the details that practically everyone who’s declaring a “crisis in cosmology” don’t want you to look at too closely. Why? Because there isn’t a crisis; there are a few clues, one (and only one) crack, and nothing at all that rises to the level of crisis. Here’s a run-down of the actual evidence.
The formation of the first stars, then the first galaxies, then brighter, more massive galaxies, and then galaxy proto-clusters and full-fledged clusters, happens in a fashion that’s completely consistent with theoretical predictions. Reionization, on average, completes when the Universe is ~550 million years old, and theory and observations both agree here. Any anomaly here is only a clue, at best.
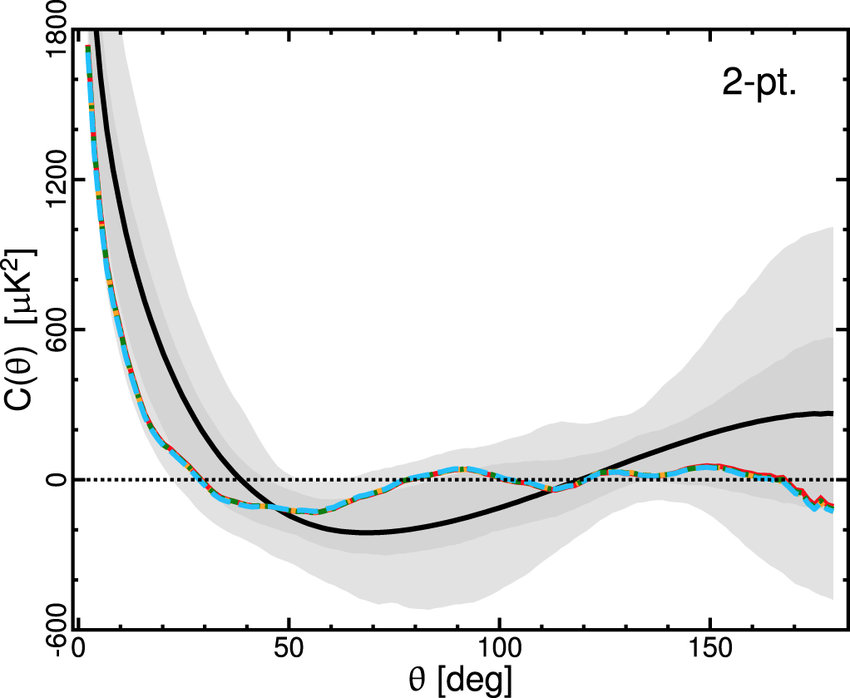
On cosmic scales, the cosmic microwave background radiation is a peek into our cosmic history when our Universe was just 380,000 years old. On the largest of scales, the temperature fluctuations are slightly lower in magnitude than we expect, but are consistent within our expected cosmic variance. There are no large-scale angular correlations, but again, these fall within the 2-sigma contours (95% confidence level) of what we expected to see. While some are quick to point to “crisis,” it isn’t; it’s still in the “clue” category.
Does JWST observe too many bright, massive galaxies forming too early? Despite early contentions, the answer appears to be no. When one takes into account the “most initially overdense” regions and allows them to grow in a high-resolution simulation, what we observe, even with JWST, falls into line with what simulations predict. Again, no more than a clue.

When it comes to observing the detailed cosmic structure that we see, colliding galaxy clusters show a clear separation between total mass (which does the lensing) and where the normal matter is (which emits X-rays). For isolated clusters, gravitational lensing data requires not just dark matter, but clumpy substructure to exist within those dark matter haloes. Galaxies moving within clusters require dark matter, and the internal motions of stars within galaxies require something else: either a modification to gravity (that won’t work for the larger scales) or dark matter. Recent claims that “wide binary stars support modified gravity” are grossly overstated. At best, these observations offer only a clue, not even a crack.
The only piece of evidence that rises to the level of “an actual legitimate crack in our understanding” comes from the discrepancy between the measured rate of expansion via one set of methods (baryon acoustic oscillations in the Universe’s large-scale structure and the peak fluctuation scale in the cosmic microwave background, the so-called “early relic” method) and another (using distant objects and their recession from us to measure the expansion rate, called the “distance ladder” method).

There’s still hope that the early relic method, yielding ~67 km/s/Mpc, and the distance ladder method, yielding ~73 km/s/Mpc, might find a “true value” in between both, but this piece of evidence, commonly called the Hubble tension, really represents a crack in our understanding: we don’t know why these two types of methods disagree so thoroughly.
But here’s the big takeaway that I wished more people would focus on: while it’s always fashionable to report on new, dubious, revolutionary claims, the fact of the matter is simply that our current consensus model, built on the presence of normal matter, dark matter, and dark energy within our Universe and starting with the inflationary hot Big Bang, is so incredibly successful that these tiny discrepancies, which include some highly uncertain claims, are all that detractors of the current model have to point to.
There is no crisis, not unless you plan on wildly exaggerating the importance and significance of what we’re actually observing and measuring out there in the Universe. The science of cosmology is more robust and successful than ever, and as romantic as the idea is that we’re “on the cusp of a revolution that will cause us to rethink our very foundations,” the overwhelming, across-the-board successes of our current consensus model shows that to be pure wishful thinking. There’s only one robust, meaningful crack in our current understanding, and even that might not require any new physics at all to resolve.