How does cosmic inflation fare when put to the ultimate test?
- Proposed way back in the 1920s, the idea that the Universe was hotter, denser, and more uniform in the distant past led to the notion of the Big Bang: an incredibly successful theory of our cosmic origins.
- But not everything our Universe gives us is what was predicted by the Big Bang; many unexplained features showed themselves, leading us to theorize an add-on that modifies the beginning: cosmic inflation.
- However, a new theory is only as good as the new predictions that it makes that differ from the old theory’s predictions. When put to the ultimate test, how does cosmic inflation truly stack up?
So, you want to know how the Universe began? You’re not alone. Every other curious member of humanity, for as long as recorded history exists (and probably much longer), has wondered about exactly this question, “Where does all this come from?” In the 20th century, science advanced to the point where a large suite of evidence pointed to a singular answer: the hot Big Bang. As first proposed by Georges Lemaître and later expanded upon by George Gamow, the Big Bang was the idea that the Universe began from a state of arbitrarily small size, high temperature and high density. It only became the vast, cold, and relatively empty place it is today because of the great amount of time that’s elapsed since its birth.
If we imagine the Universe as it was farther back in time, the Big Bang tells us:
- it must have been smaller, since it’s expanding today,
- that all the matter within it was closer together, and so it was denser,
- that it was more uniform early on, since it takes time for gravitation to cause matter to clump together,
- and — because the wavelength of light, which stretches with the expansion of the Universe, determines its temperature — that the Universe was also hotter and more energetic,
in the distant past. All of those things are borne out observationally, with signatures like the cosmic microwave background, the abundance of the light elements, and the growth and formation of structure all validating the picture of the hot Big Bang.
But does the Big Bang itself describe the initial state of the Universe, going all the way back to its birth? In fact, it doesn’t and can’t, making cosmic inflation such a compelling idea for preceding and giving rise to the hot Big Bang early on.

Although the Big Bang was itself a contentious idea that was fought over for decades, it’s been remarkably successful at explaining the early moments in our Universe’s history: how atomic nuclei first formed, how neutral atoms were initially created, and how stars, galaxies, and the cosmic web sprang into existence. Throughout the 1960s and 1970s, an enormous suite of evidence in support of the Big Bang rolled in, causing all other alternatives to fall by the wayside, unable to match what was observed.
However, the Big Bang picture also brought along with it some puzzles as well; some things that we observed that the Big Bang couldn’t explain.
- For starters, if the Universe was, at some point in the past, at arbitrarily high energies, there should be all sorts of ultra-high energy relics left over from that time. Theoretical particles like magnetic monopoles, leftover signatures from grand unification, topological defects like cosmic strings and domain walls, etc. And yet, we see none.
- For another, the leftover glow from the Big Bang was uniform. As in, really, really uniform; much more uniform than it had any right to be: as though it were born with identical initial conditions everywhere, even between regions that were too far apart for them to exchange information (or heat) with one another.
- And, as a third puzzle, there exists a perfect balance between how quickly the Universe is expanding and all the different forms of matter and energy within it. (Equivalently, we see that the Universe has zero spatial curvature.) This isn’t necessarily a problem, but the level of fine-tuning in the Universe’s initial conditions required to achieve a result like this is phenomenal; the total energy density needed to be exactly the value it is to about one part in 1028 in order to arrive at the curvature-free Universe we observe today.

The theory of cosmic inflation was designed in order to solve these problems, among others. The difficulty we have is that, according to the Big Bang, the Universe can be extrapolated back to a smaller, hotter, and denser state arbitrarily far: all the way back to a singularity. It brings us back to an epoch where temperatures, energies, and densities were arbitrarily large. If this were the case, we cannot explain these observed phenomena within the Universe.
However, if we instead allow for the possibility that we can’t extrapolate back to the highest energies and temperatures and densities and smallest scales possible, but instead theorize that something else happened to cause and set up the hot, dense, expanding, matter-and-radiation-filled Universe, we can not only solve these problems, but figure out what came before the Big Bang framework is applicable.
That’s exactly what the theory of cosmological inflation says. It says that prior to the Universe being described by the matter-and-radiation-filled, expanding state we have today, it went through a period where there was practically no matter or radiation, and instead the Universe was dominated by energy inherent to space itself, and expanded exponentially. Consequently, that exponential expansion:
- imbued the region we call “our Universe” with the same initial properties everywhere,
- stretched whatever pre-existing curvature the Universe had to be indistinguishable from flat,
- and “inflated away” any pre-existing high-energy relics, and then only heated up to a finite temperature that wouldn’t create those relics again in the early stages of the hot Big Bang.

The Big Bang, on its own, offers no solution to these puzzles, whereas the theory of cosmic inflation does. The Big Bang can still succeed if we extrapolate back to a hot, dense, almost-perfectly-uniform early state, but no further: it doesn’t explain any more than that. To go beyond these limitations requires a new scientific idea that supersedes the Big Bang and sets it up, and that’s precisely what cosmic inflation does. However, explaining these things we’d observed isn’t sufficient for inflation to become a scientifically accepted idea. If you want to replace a pre-existing theory, any new theory must clear all three of the following hurdles:
- Reproduce all of the successes of the old theory (the Big Bang, in this case), including the creation of an expanding, hot, dense, almost-perfectly uniform Universe.
- Provide a mechanism for explaining those three puzzles — the temperature uniformity, the lack of high-energy relics, and the flatness problem — that the Big Bang has no solution for.
- Finally, and perhaps most importantly it must make new, testable predictions that are different from the standard Big Bang that it’s attempting to supersede.
The first and second happened relatively quickly, but the third? Those predictions would have to be teased out, theoretically, early on, and then we’d have to develop the tools and technologies needed to measure the relevant observable to sufficient precision to distinguish whether our actual Universe is consistent with the Big Bang (without inflation), with cosmic inflation, or with neither of them.

Here are the six great predictions of inflation that differ from the predictions of the hot Big Bang without inflation.
- There should be an upper-limit to the maximum temperature the Universe achieves post-inflation; it cannot approach the Planck scale of ~1019 GeV.
- Inflation should produce quantum fluctuations — the seeds of density and temperature imperfections in the Universe — that are almost perfectly scale-invariant, but with slightly greater magnitudes on larger scales than smaller ones.
- Super-horizon fluctuations, or fluctuations on scales larger than light could have traversed since the Big Bang, should exist.
- The quantum fluctuations during inflation should produce the seeds of density fluctuations, and they should be 100% adiabatic and 0% isocurvature. (Where adiabatic and isocurvature are the two allowed classes.)
- The Universe should be nearly, but not quite, perfectly flat, with quantum effects producing curvature no less than at the ~0.0001% level, but no greater than the ~0.01% level.
- And the Universe should be filled with primordial gravitational waves, which should imprint on the cosmic microwave background as B-modes.
It’s now 2025, and we’ve put all six of these predictions to the most stringent tests possible: with the best data we’ve been able to gather about the Universe itself.

1.) The hottest early times in cosmic history. If the hot Big Bang were all there were, then the particles that existed within the Universe should have reached, at minimum, energies that were equal to the Planck energy: about ~1019 GeV per particle. With inflation, however, the maximum energy that those particles should have obtained should be much less: a factor of hundreds or even thousands lower than the Planck energy, even at their hottest. This isn’t merely a theoretical prediction, but something that should be imprinted in the leftover glow remaining from the Big Bang: the cosmic microwave background.
Based on the magnitudes of the temperature fluctuations that have been observed, we can observationally determine that the Universe did have a finite maximum temperature that it reached in its early stages, indicating that particles did have a maximum energy to them. The magnitude of that temperature, as constrained most tightly by observations from the Planck satellite, teaches us that the maximum energy those particles could have had was about ~1016 GeV per particle, or about a factor of 1000 less than the Big Bang without inflation predicts. Point for inflation, and no points for a non-inflationary Big Bang.

2.) The initial fluctuations imprinted onto our Universe should be almost, but not quite, perfectly scale-invariant. If quantum physics is real, then the Universe should have experienced quantum fluctuations at all times: even during inflation. Under inflation, these fluctuations should be stretched, exponentially, across the Universe:
- getting generated on small scales,
- then getting stretched to larger scales,
- then having new smaller-scale fluctuations getting generated,
- where both large-and-small fluctuations then get stretched further,
- where they’re then joined by new fluctuations,
and so on. When inflation ends, these fluctuations will be imprinted atop the average energy density from the Universe, and when the inflationary field energy gets converted into matter and radiation, we’ll wind up with a Universe that consists of overdense and underdense regions equally.
These fluctuations will be imprinted in the cosmic microwave background, appearing as regions of high-and-low temperature, and also in the large-scale structure of the Universe, appearing as cosmic voids (for underdensities) and as stars, galaxies, galaxy clusters, and filaments (for overdensities). Because of the specifics of how inflation proceeds in the final stages, the observed fluctuations should be slightly greater in magnitude, by just a few percent, on large cosmic scales as opposed to small ones: a slight departure from perfect scale invariance.
Observationally, as first detected by WMAP and later, by Planck and by large-scale structure surveys, we observe exactly that: a spectral index of 0.96 to 0.97: about 3% away from perfect scale-invariance. Another point for inflation, and still no points for a non-inflationary Big Bang.

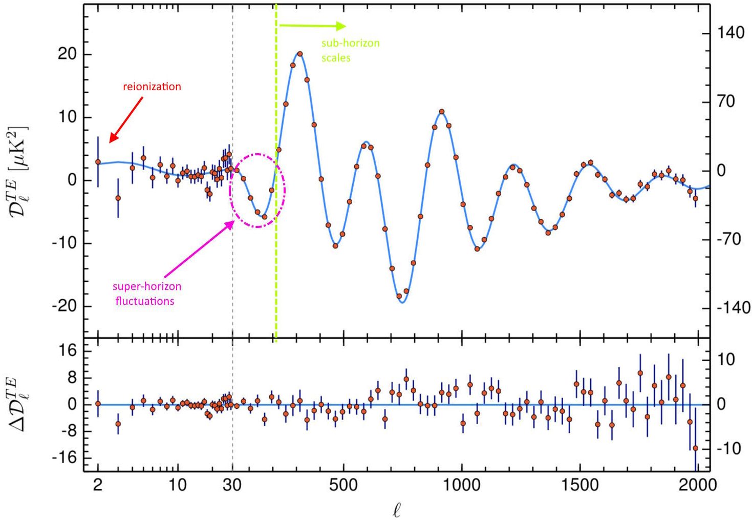
3.) Do super-horizon fluctuations exist? At any moment in the Universe’s history, there’s a limit to how far a signal that’s been traveling at the speed of light since the start of the hot Big Bang could’ve traveled, and that scale sets what’s known as the cosmic horizon.
- Scales that are smaller than the horizon, known as sub-horizon scales, can be influenced by physics that’s occurred since the start of the hot Big Bang.
- Scales that are equal to the horizon, known as horizon scales, are the upper limit to what could’ve been influenced by physical signals since the start of the hot Big Bang.
- And scales that are greater than the horizon, known as super-horizon scales, are beyond the limit of what could’ve been caused by physical signals generated at or since the start of the hot Big Bang.
In other words, if we can search the Universe for signals that appear on super-horizon scales, that’s a great way to discriminate between a non-inflationary Universe that began with a singular hot Big Bang (which shouldn’t have them at all) and an inflationary Universe that possessed an inflationary period prior to the start of the hot Big Bang (which should possess these super-horizon fluctuations).
As first measured in the polarization data from the cosmic microwave background, we find that these super-horizon fluctuations not only exist, they exist with the precise properties that cosmic inflation would have predicted. For those of you keeping score, that’s yet another point for inflation, without any points favoring a non-inflationary Big Bang.

4.) A Universe whose quantum fluctuations are adiabatic, as opposed to isocurvature, in nature. In theory, the density/temperature fluctuations that the Universe began with could have come in two different varieties: adiabatic, isocurvature, or a mixture of the two. If your fluctuations are adiabatic, that implies that each individual fluctuation, whether it’s an overdensity or an underdensity, will have an equal magnitude for the overdensity/underdensity across each energy species: each type of Standard Model particle, each species of radiation, each species of antiparticle, etc. However, if the fluctuations are isocurvature in nature, different species (quarks, antiquarks, charged leptons, charged antileptons, neutrinos, antineutrinos, gluons, photons, etc.) can exhibit different amounts of overdensity/underdensity in each fluctuation.
If the theory of inflation is correct — and it’s very explicit about this prediction — the fluctuations must be 100% adiabatic and 0% isocurvature; isocurvature fluctuations are disallowed. However, if a non-inflationary Big Bang occurred, there are no such fluctuations, and one model for dark matter (isocurvature dark matter) is allowed to exist. Of course, this can also be probed by examining the fluctuations in the cosmic microwave background and from large-scale structure formation, and the data is again very clear: these early, seed fluctuations are at least 98.7% adiabatic (consistent with 100%) and no more than 1.3% isocurvature (consistent with 0%) in nature. Again, this is an observational point in favor of inflation, and one that the non-inflationary Big Bang wouldn’t have predicted.

5.) The Universe should be spatially flat, but only up to a point: at somewhere between the 0.001% and 0.01% level, we should see some form of spatial curvature. Inflation, as you’ll recall, takes any initial configuration for the Universe — positively curved or negatively curved, by any amount or magnitude — and stretches it so that space, or at least the part of space that comes to make up our Universe, appears indistinguishable from flat. But atop that “flat” background, it does also predict some tiny amount of curvature that will get imprinted onto the Universe on cosmic scales: somewhere between 1-part-in-106 and 1-part-in-104, or curvature between the levels of 0.0001% and 0.01%.
The non-inflationary Big Bang, meanwhile, has no restrictions (and no predictions) for this value at all: it can be anything, including very highly curved in either the positive or negative directions, or perfectly and exactly flat. What we see is very interesting: from both cosmic microwave background and large-scale structure observations, we find a Universe that looks very flat: flat to about 99-part-in-100, or flat to the ~1% level of precision. Ideally, we’ll someday be able to probe the Universe more precisely than this, enabling us to put inflation to yet another critical test. What we’ve found so far indicates a Universe that’s consistent with inflation, but that has yet to reach the necessary level to test inflation against a non-inflationary alternative.

6.) And finally, inflation predicts that in addition to temperature/density fluctuations, it should also generate gravitational wave fluctuations with a particular spectrum. According to inflation, there shouldn’t just be scalar (density) fluctuations produced during the inflationary period, but tensor (gravitational wave) fluctuations as well. While we haven’t detected these fluctuations directly, there’s a wonderful indirect test of them: looking for B-mode polarization signals in the cosmic microwave background data. Inflation is very good at predicting explicitly what that spectrum of fluctuations should look like, but one (maddeningly) unconstrained parameter about them is how large their magnitude should be.
On the other hand, if we had a non-inflationary Big Bang, there should be a gravitational wave background, but it won’t look anything like the inflationary one; it will be narrowly peaked at a specific set of wavelengths that were produced very early on, corresponding to the Universe as it was back at those Planck-scale energies. Unfortunately, we have yet to detect any evidence of these gravitational waves (now that the erroneous detection from the BICEP2 collaboration has been thoroughly refuted), leaving this as the last completely untested prediction of inflation versus the Big Bang. The lack of any such gravitational waves is equally consistent with both inflation and inflationary alternatives such as a non-inflationary Big Bang.

Think back to what’s required for a new scientific theory to supplant an older one. There are three things it must do:
- reproduce all the successes of the older, pre-existing theory,
- explain observations or measurements that have already taken place, which the older, previous theory could not explain,
- and make new predictions that differ from the old theory’s that we can go out and test directly.
Inflation hasn’t just cleared the first two hurdles, but it’s also cleared the third hurdle, and it has done so in four completely independent, testable ways. Rather than being some speculative theoretical behemoth, inflation instead is a very robust theory with several concrete predictions that were then put to the test, and the Universe itself validated inflationary theory while refuting the non-inflationary alternative.
Cosmic inflation isn’t speculative anymore. Thanks to our observations of the CMB and the large-scale structure of the Universe, we’ve been able to confirm exactly what it predicted. Inflation has literally met every threshold that science demands, with clever new tests becoming possible with improved observations and instrumentation. Whenever the data has been capable of being collected, inflation’s predictions have been verified. Although it’s perhaps more palatable and fashionable to be a contrarian, inflation is the leading theory for the best reason of all: it works at explaining the Universe we actually inhabit. No other alternative can make the same claims.