Black holes are wondrous objects, but how many are out there?

interstellar black hole
Made famous by the movie Interstellar, this depiction of a black hole seen edge-on with respect to its accretion disk in a highly-curved spacetime shows the substantial spacetime-bending power of a black hole. Close to the event horizon but still outside of it, time passes at a tremendously different rate for an observer at that location than for an observer far away and outside of the main gravitational field. The number of black holes in the Universe, as well as the black hole mass function, is still under investigation.
Credit: NASA’s Goddard Space Flight Center/Jeremy Schnittman

Most black holes form when high-mass stars end their lives.

NGC 6888 expelled gas
Imaged in the same colors that Hubble’s narrowband photography would reveal, this image shows NGC 6888: the Crescent Nebula. Also known as Caldwell 27 and Sharpless 105, this is an emission nebula in the Cygnus constellation, formed by a fast stellar wind from a single Wolf-Rayet star. The fate of this star: supernova, white dwarf, or a direct collapse black hole, is not yet determined.
Credit: J-P Metsävainio (Astro Anarchy)

Those stars die in core-collapse supernova events.

very massive star supernova
The anatomy of a very massive star throughout its life, culminating in a type II (core-collapse) supernova when the core runs out of nuclear fuel. The final stage of fusion is typically silicon-burning, producing iron and iron-like elements in the core for only a brief while before a supernova ensues. The most massive stars achieve a core-collapse supernova the fastest, typically resulting in the creation of black holes, while the less massive ones take longer, and create only neutron stars.
Credit: Nicolle Rager Fuller/NSF

Some leave neutron stars behind, but the more massive ones leave remnant black holes.

supernova mass metallicity
Supernovae types as a function of initial star mass and initial content of elements heavier than Helium (metallicity). Note that the first stars occupy the bottom row of the chart, being metal-free, and that the black areas correspond to direct collapse black holes. For modern stars, we are uncertain as to whether the supernovae that create neutron stars are fundamentally the same or different than the ones that create black holes, and whether there is a ‘mass gap’ present between them in nature. We must also consider that effects other than mass and metallicity (such as the presence of a companion) may indeed play major roles in determining the fate of massive stars, including in whether they can contribute to enriching the interstellar medium.
Credit: Fulvio314 / Wikimedia Commons

Neutron star mergers supplement the black hole population.

Crashing neutron stars can make gamma ray burst jets.
We knew that when two neutron stars merge, as simulated here, they can create gamma-ray burst jets, as well as other electromagnetic phenomena. But perhaps, above a certain mass threshold, a black hole is formed where the two stars collide in the second panel, and then all the additional matter-and-energy gets captured, with no escaping signal. Determining the mass boundary between where neutron stars and black holes can form is one of the goals of modern gravitational wave astronomy.
Credit: NASA/AEI/ZIB/M. Koppitz and L. Rezzolla

Occasionally, stars also directly collapse: (probably) leaving black holes behind.

direct collapse directly observed
The visible/near-IR photos from Hubble show a massive star, at least 25 times the mass of the Sun, that has winked out of existence, with no supernova or other explanation. Direct collapse is the only reasonable candidate explanation, and is one known way, in addition to supernovae or neutron star mergers, to form a black hole for the first time. The direct collapse of this particular object, while still under investigation, may have been triggered by a stellar companion.
Credit: NASA/ESA/C. Kochanek (OSU)

Although we’ve quantified star-formation throughout cosmic history, the black hole “fraction” remained uncertain.

supermassive
This 20-year time-lapse of stars near the center of our galaxy comes from the ESO, published in 2018. Note how the resolution and sensitivity of the features sharpen and improve toward the end, all orbiting our galaxy’s (invisible) central supermassive black hole. Practically every large galaxy, even at early times, is thought to house a supermassive black hole, but only the one at the center of the Milky Way is close enough to see the motions of individual stars around it, and to thereby accurately determine the black hole’s mass. Similar techniques could reveal intermediate mass black holes within globular clusters, albeit over longer timescales.
Credit: ESO/MPE

All of this changed, however, since the dawn of gravitational wave astronomy.

LIGO Livingston
This aerial view shows the main science hub of the LIGO Livingston detector in Louisiana, with a view peering all the way down one of its 4 km long detector arms. Complemented by LIGO Hanford in eastern Washington, these two detectors not only brought us our first gravitational wave detection, but have netted more gravitational wave discoveries than all other efforts combined. Without investments in cutting edge facilities such as this, our ground-based astronomy efforts, from light to gravitational waves to particles like neutrinos, would still be in their infancy.
Credit: Caltech/MIT/LIGO Lab

LIGO and Virgo have detected scores of black holes, providing us with our first quasi-census.

mass gap
The most up-to-date plot including LIGO’s Observing Run 3 data, as of November 2021, of all the black holes and neutron stars observed both electromagnetically and through gravitational waves. While these include objects ranging from a little over 1 solar mass, for the lightest neutron stars, up to objects a little over 100 solar masses, for post-merger black holes, gravitational wave astronomy is presently only sensitive to a very narrow set of objects. The closest black holes had all been found as X-ray binaries, until the November 2022 discovery of Gaia BH1. The mass “border” between neutron stars and black holes is still being determined.
Credit: LIGO-Virgo-KAGRA / Aaron Geller / Northwestern

Properly estimating black hole mergers ensures we’re not overcounting them.

gravitational wave emission
This illustration shows the results of numerical simulations of the gravitational waves emitted by the inspiral and merger of two black holes. The colored contours around each black hole represent the amplitude of the gravitational radiation; the blue lines represent the orbits of the black holes and the green arrows represent their spins. Even though the two objects orbit one another in the plane, gravitational waves propagate outward in three-dimensions, and the gravitational force falls off as ~1/r².
Credit: C. Henze/NASA Ames Research Center

This data also supports estimates of the number density of black holes (by mass) in the Universe.

LIGO search volume
Advanced LIGO’s range for black hole-black hole mergers (purple) is far, far greater than its range for neutron star-neutron star mergers (yellow), owing to the mass dependence of the signal amplitude. A difference by a factor of ~10 in range corresponds to a difference of a factor of ~1000 for volume, so that even though the number density of low-mass black holes far outstrips the higher-mass ones, LIGO and Virgo are more sensitive out to greater distances for higher-mass systems.
Credit: LIGO Scientific Collaboration/Beverly Berger, NSF

The greatest uncertainties lie with the lowest black hole masses: 10 solar masses and under.

mass gap
The populations of black holes, only, as found through gravitational wave mergers (blue) and X-ray emissions (magenta). As you can see, there is no discernable gap or void anywhere above 20 solar masses, but below 5 solar masses, there’s a dearth of sources. This helps us understand that neutron star-black hole mergers are unlikely to generate the heaviest elements of all, but that neutron star-neutron star mergers can, and can also result in the formation of a black hole. The population of black holes and/or neutron stars between about 2 and 5 solar masses, at the lowest-end of the black hole mass range, is where the greatest uncertainties lie.
Credit: LIGO-Virgo-KAGRA / Aaron Geller / Northwestern

Bringing all this information together, astrophysicists have estimated the cosmic black hole mass function.

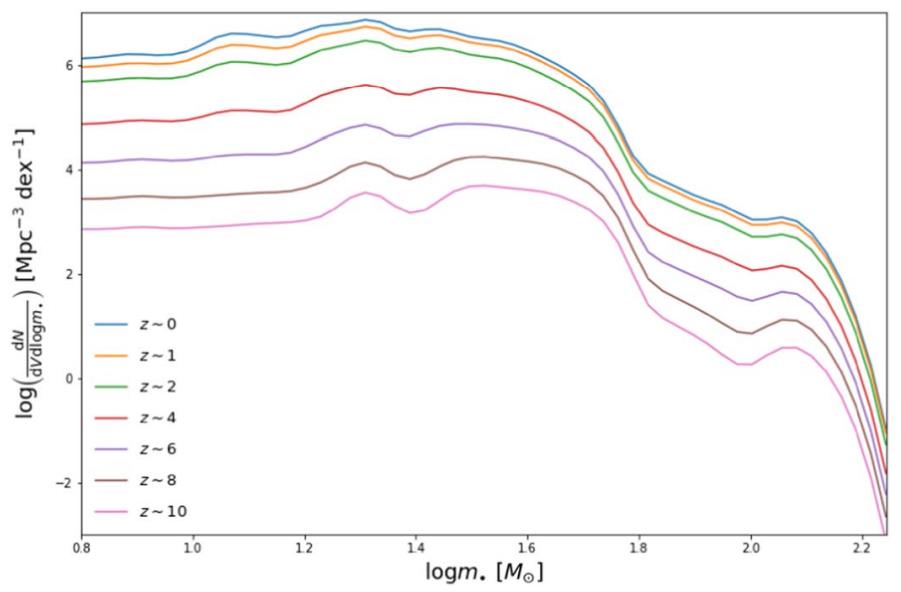
black hole estimated mass function
This graph shows the estimated mass function of black holes at various cosmic epochs (different colors) as a function of the mass of these black holes (x-axis). The numbers obtained by integrating over all of cosmic time and the entire observable Universe lead to an estimated 40 quintillion black holes in our Universe.
Credit: A. Sicilia et al., ApJ, 2022

All told, they conclude 40 quintillion (4 × 1019) black holes exist within today’s Universe.

globular cluster terzan 5
This image shows the core of globular cluster Terzan 5, just 22,000 light-years away in our own Milky Way, with a wide variety of colors and masses inherent to the stars within. With millions of stars within only a few tens of light-years of one another, this dense collection of stars is still incredibly sparse, with hundreds of billions of kilometers separating the average star from its nearest neighbor. It was only through the PhD dissertation of Cecilia Payne in 1925 that we learned what stars, like the ones shown here, are made of.
Credit: ESA/Hubble & NASA, R. Cohen

That equates to 1-2% of all stars eventually forming black holes: higher than all prior estimates.

total black hole mass density
The overall black hole mass density in the Universe, given by the solid blue line, is estimated to be about ~10% of the stellar mass density in the Universe. Although the total number of black holes is largely driven by uncertainty in the low-end of the mass spectrum, the overall mass density is dominated by black holes between 20-50 solar masses.
Credit: A. Sicilia et al., ApJ, 2022

If confirmed, this implies black holes comprise 0.04% of the cosmic energy budget.

supermassive black holes
This view of about 0.15 square degrees of space reveals many regions with large numbers of galaxies clustered together in clumps and filaments, with large gaps, or voids, separating them. Each point of light is not a galaxy, but a supermassive black hole, revealing just how ubiquitous these cosmic objects are. By estimating the black hole mass function across cosmic time, researchers have a suggestive solution to the “seeds of supermassive black holes” question, suggesting that conventional astrophysics may have given rise to the objects we observe at all cosmic times.
Credit: NASA/Spitzer/S-CANDELS; Ashby et al. (2015); Kai Noeske

Mostly Mute Monday tells an astronomical story in images, visuals, and no more than 200 words.