Is dark energy weakening? DESI’s results are ambiguous
- Over the past few decades, astrophysicists and cosmologists have assembled a far-reaching “consensus picture” of the Universe: the inflationary hot Big Bang with ΛCDM, with dark energy and dark matter dominating our Universe.
- For the past 25 years, many have considered non-standard alternatives to a cosmological constant for dark energy, but the observational evidence has always been consistent with the simplest, most vanilla form of dark energy: Einstein’s Λ.
- With DESI’s latest data release, however, they present the strongest-ever evidence indicating that dark energy may be evolving after all, and specifically, that it’s weakening over time. It’ll take more evidence for most cosmologists to be convinced.
There’s an extremely powerful idea in science that we take for granted, but apply all the time. The idea is simply this: that if we know the laws and rules governing a physical system, and we also know what the initial conditions of that system are, then we can apply the known rules to those initial conditions and evolve our system forward in time, making exquisite predictions for that system’s properties at all times. We can even do this for the entire Universe, with initial conditions given by the inflationary hot Big Bang and the types of energy present within our Universe, and then evolve it forward to form atomic nuclei, neutral atoms, stars, galaxies, and the grand cosmic web, all as the Universe expands and cools.
Our standard picture for this scenario, which fell into place in the late 1990s and early 2000s, is simply known as ΛCDM today. The Λ is for dark energy, which is assumed to be Einstein’s cosmological constant (from general relativity) in its simplest form and makes up 68% of the Universe’s total energy today. The CDM is for cold dark matter, which makes up the majority of the rest of the cosmic energy budget (27%), with the remaining 5% made up of normal atom-based matter, plus a little bit more in the forms of photons and neutrinos.
Although this picture is excellent, it isn’t perfect. The Hubble tension shows us how measuring the Universe in different ways leads to different values for the expansion rate. There’s a tension in how rapidly structure forms on specific scales: the Sigma-8 tension. And now, with the latest data release from the DESI collaboration, we have strong, but not overwhelming, evidence in favor of evolving dark energy. But despite some very intriguing claims, things aren’t necessarily pointing to a cosmic revolution. Here’s the science that everyone should understand.

Back in the late 1990s, astronomers presented the first strong evidence — based on type Ia supernova data (from detonating white dwarfs) — that showed that, at large cosmic distances, the light signals we were seeing were unusually faint: fainter than the standard predictions indicated. Perhaps something novel was at play, driving the Universe apart and causing the light from these distant objects to stretch, or redshift, by a greater amount than anticipated.
Why were these supernovae appearing fainter than expected at large distances? One explanation was that the Universe wasn’t just made of matter and radiation, but a new ingredient: some form of dark energy, which doesn’t get less dense even as the Universe expands. The evidence for this interpretation was interesting, but not overwhelming, when first presented in 1998. Other, alternative explanations persisted.
- Could some of these photons be oscillating into an “invisible” particle, like an axion, causing these supernovae to appear fainter? That needed to be ruled out as a cause.
- Was there additional dust early on in cosmic history, causing these objects to appear fainter because the light was blocked? We had to look at the red-and-blue parts of the light to know that no, it couldn’t be real, physical dust.
- Could there be a new type of wavelength-independent, or gray, dust that blocked the light? We needed to go deeper, and observe the transition between dark energy and matter domination, to rule that out.
By the mid-2000s, these “reasonable” alternatives had all been ruled out, and the evidence from other, independent lines of evidence — specifically, from the cosmic microwave background (CMB) and from large-scale structure (LSS, or BAO if we’re using the baryon acoustic oscillation signal from structure formation) — had come in, pointing to dark energy even if we ignored the evidence from supernovae.

It’s worth looking at the above graph, even though it’s rather old as of 2025, to understand what this last point shows. You can see, on the two (x and y) axes, that there are two symbols: Ωm and ΩΛ, which represent the fractional matter density (Ωm) and the fractional dark energy density (ΩΛ), where the different constraints from:
- supernovae,
- large-scale structure (or BAO),
- and the CMB,
are all shown together. In an ideal world, these three data sets would all be consistent with one another, together, and when you combined them, you’d be able to pin down what the matter and dark energy densities actually were within our Universe.
Of course, showing these three data sets together, with Ωm and ΩΛ as the only “variables” that are allowed to be tinkered with, is a bit disingenuous and incomplete. In reality, there are many different parameters that are assumed to be “fixed” but which, in fact, aren’t necessarily going to be determined to be identical when you look at the different data sets. In particular, there are parameters like:
- the age of the Universe (since the start of the hot Big Bang),
- the expansion rate of the Universe today (i.e., the Hubble constant),
- the sum of the masses of the different neutrino species,
- and the dark energy equation of state (w, which is assumed to be w = -1, exactly, for the case where dark energy is a cosmological constant, but which can be a different value or can evolve in general),
among others. Back in the 2010s, when we had data from COBE and WMAP, but were just getting the first data from Planck, there were some efforts made to showcase these degeneracies graphically.

Take a look at the above graph, for example, which shows CMB data (from Planck’s first year data release) from around 10-12 years ago. As you can see, you can have:
- large values for ΩΛ, of about 75%, and small values for Ωm, of about 25%, if the Hubble expansion rate is large, at around 75 km/s/Mpc,
- or equal values for ΩΛ and Ωm, at 50% each, if the Hubble expansion rate is very low, at around 55 km/s/Mpc,
- or you can take the “best fit” point, where ΩΛ is around 68% and Ωm is around 32%, and the Hubble expansion rate is around 67 km/s/Mpc,
as well as a slew of different combinations, with some being even more extreme than the values chosen for these three examples.
This is what scientists call a degeneracy of parameters: the fact that there are multiple possible combinations of these various cosmological properties of our Universe that can fit the data. If you look at any one data set on its own, like type Ia supernova data, the CMB, or the baryon acoustic oscillation (BAO) signals, you won’t get very good constraints on all of these parameters together; you’ll get a range of outcomes that are all plausible. It’s why we often combine these multiple data sets: to synthesize as much information together and tighten our constraints as much as possible. However, that comes along with its own danger: that of overfitting. If we combine too much data, and that data isn’t all mutually consistent, we run the risk of drawing conclusions about some sort of cosmic evolution that may not be real.
When there’s a degeneracy, you cannot be certain about which “component” is the one that’s defying your simple expectations.

Now, let’s come to the present day. We have our best measurements of the CMB, including its polarization, from not only Planck, but from other collaborations such as ACT. We have two independent sets of rich, high-quality supernova data: from Pantheon+ and from the Union collaboration. And although there are new baryon acoustic oscillation (BAO) data surveys that will soon yield enormous amounts of high-quality data — from ESA’s Euclid, NASA’s Nancy Roman, NSF’s Vera Rubin observatory, and even Caltech’s new SphereX mission — the best one we have right now is DESI: the Dark Energy Spectroscopic Instrument.
Last year, DESI put out their very first data release and reached a fascinating conclusion: that the data they had collected, which is BAO data, indicated that dark energy may not be a cosmological constant, but instead showed weak, but non-zero, evidence that dark energy was evolving, specifically by weakening over time. Until we have the superior, perhaps even definitive data from Euclid, Roman, and Rubin, we simply have to rely on the best data we have. Fortunately for all of us, DESI has just issued their second data release, and what they’ve done is increase the power, depth, and sky coverage of their data. There are now over 14 million galaxies and quasars included in their survey: the largest large-scale structure data set ever collected.

Now you’ve probably heard all sorts of wild headlines since these results were announced just a short while ago: on March 17/18, 2025. The overwhelming claim has been that dark energy is no longer consistent with a cosmological constant, and that instead this data strongly favors a form of dark energy that was stronger in the past, and has now been observed to weaken at late times. If you combine this large-scales structure data with supernova data and the cosmic microwave background, it’s quite significant: with preferences for dynamical dark energy (where the parameter for the dark energy equation of state, w, isn’t always -1 but evolves with time/redshift/the expansion of the Universe) ranging from between 2.8 and 4.2 sigma significance. This doesn’t quite reach the “gold standard” of 5-sigma significance, but it’s getting close.
However, this conclusion — despite how widely reported it’s been — is completely premature based on the data we presently have. After all, we’ve just finished discussing that the “best fit” data to any one of the indicators, on their own, can’t teach us very much in terms of constraints. The DESI collaboration knows this and sees this as well. For example, in one of the figures in their recent paper, they highlight the various probabilities that come along for measuring the total matter density, today, of the Universe: the parameter known as Ωm. They looked at:
- DESI’s first data release (DR1),
- DESI’s second data release (DR2),
- the best data from the CMB (from Planck),
- and three different supernova surveys: Pantheon+, Union, and DESY5.

As you can clearly see, above, there’s a wide variety of values that are preferred, for values of ~29% for BAO data from DESI to a value of ~32% for the CMB to values of ~34-37% for supernova data, depending on which data set is chosen. What should strike you the most is that the BAO data is marginally consistent with CMB data, and that CMB data is marginally consistent with supernova data (moreso with Pantheon+ than Union data), but that BAO and supernova data really don’t “play nice” together in this regard. It’s as though these two different types of data sets are pulling the cosmological parameters, even ones as basic as the matter density of the Universe, in two different directions, with BAO data pulling it toward lower values and supernova data pulling it toward higher values.
You might then ask what happens when you:
- look at the DESI data on its own,
- look at the DESI data with CMB data, together,
- and look at the DESI data with CMB and supernova data all combined,
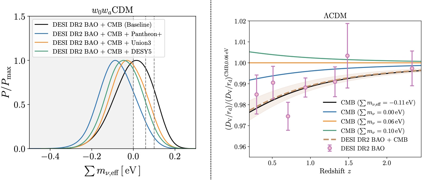
and see what it tells you about dark energy. One common way of looking at dark energy is to assume that it’s a cosmological constant (w = -1), but if dark energy evolves, then you might consider having something called w0, where that’s the value of w today, and a second parameter, wa, which quantifies how w evolves with the expansion of the Universe, as “a” in cosmology is the size of the Universe at a given epoch in the past compared to the size of it today. The DESI collaboration did exactly this, and here are the results.

Where the two dotted lines intersect, for wa = 0 and w0 = -1, that represents the case for constant, non-evolving dark energy. If you look at the dotted contours on the leftmost graph, you see that the DESI data alone could be evolving, but it could also be consistent with non-evolving dark energy. Only if you fold in additional data sets, such as the CMB and/or supernova data, do you begin favoring evolving dark energy over the scenario of constant dark energy, where dark energy is Einstein’s cosmological constant: Λ.
But there are two important things to consider when thinking about what this data actually means, before you go ahead and jump to the spectacular conclusion of “dark energy isn’t a cosmological constant!”
- Whenever you have two options — to try to fit your data with fewer free parameters (one, a cosmological constant) or more free parameters (two, w0 and wa) — you can expect that you’ll get a better fit with more parameters, but that’s not necessarily going to show you what’s actually going on, or whether your chosen parameters are physically relevant or meaningful.
- You had better go check your other fitted/assumed parameters, and make sure that they’re giving you plausible answers, rather than unphysical values that tell you “this absolutely cannot be right.”
One important thing to check, for that second point, is the sum of the neutrino masses, which must be positive in order to be physically valid, and greater than about 0.059 eV if we want it to be consistent with neutrino oscillation data.

Lo and behold, they are not. In other words, their evolving dark energy scenario, while it is indeed a better fit to the data than a constant dark energy scenario, leads to one of the parameters (the sum of the neutrino masses) having an unphysical (negative value) solution.
You might cringe at this, and ask the very sensible question of, “Well, clearly we can’t have non-positive masses for something shown to have a rest mass, so what could the other explanations be?” It’s a great question, and one that the DESI team members did not ask of themselves!
Fortunately, there is additional literature from authors who have considered this. For one possibility, we could have a model with decaying dark matter, which could help bring things back in line. For another, we could have a phase shift in the effected number of neutrino species (i.e., relativistic radiation in the early Universe), which could be the culprit for the observations we’re seeing. We could also be seeing a surprise in the growth rate for the formation of various cosmic structures; a modification to our standard expectation for astrophysics in an entirely different place. In other words, instead of dark energy evolving and neutrino masses being negative, perhaps there are other explanations for why the data is behaving the way it is. Just because we can’t stitch together the three independent data sets of:
- baryon acoustic oscillations,
- the cosmic microwave background,
- and type Ia supernovae,
and get something consistent with our standard (ΛCDM) cosmology, doesn’t necessarily mean that the standard cosmology is wrong. Moreover, it doesn’t mean that the “Λ” part of the standard cosmology is the part that ought to be modified; that’s an assumption, and one that isn’t necessarily justified by looking at the data.

There’s also something concerning about looking at the various significances that arise when it comes to “evidence for evolving dark energy” from different combinations of the different data sets that are out there.
- When you look at the DESI data alone, it only favors evolving dark energy over the standard ΛCDM model by less than 2-sigma significance: what we call “negligible evidence.”
- When you look at the DESI data combined with Planck CMB data, there’s a 3.1-sigma preference for evolving dark energy over ΛCDM, which is suggestive, but not conclusive.
- But then, if you add in the supernova data set, your significance for evolving dark energy as compared with a cosmological constant can either increase or decrease depending on which set you use. If you add in Union or DESY data, the significance increases to 3.8-sigma or 4.2-sigma, respectively, but if you add in Pantheon+ data instead, the significance decreases to just 2.8-sigma.
For me, the most compelling figure in the new DESI paper is figure 13, which shows that both the DESI data as well as the supernova data, when taken together (and irrespective of whether you use DESY, Union, or Pantheon+ data), are not yet sufficient to discriminate between various options for how dark energy behaves in the Universe.

There’s another troubling aspect with interpreting the tension from this combination of different data sets as evidence for evolving dark energy: it leads to a pathology known as phantom dark energy, which, like negative neutrino masses, violates an important energy condition of the Universe. It’s also interesting to note that there are supernovae common to both the Pantheon+ and DESY data sets, and when you look at the difference between low-and-high redshift (i.e., near and far distance) supernovae, there’s an offset in magnitude between them. It’s possible that, if DESY and even Union supernovae were calibrated in the same way as Pantheon+ data, the evidence for evolving dark energy would weaken substantially.
Ultimately, we have something interesting going on: a tension between combining the three main cosmological data sets that teach us what’s in the Universe. BAO data, having just given us our best-ever view of how structure forms and evolves in the Universe with DESI’s second data release, shows us that the idea of a simple ΛCDM cosmology is inconsistent when combined with both CMB and supernova data. And similarly, we already knew that CMB and supernova data give us the Hubble tension when we combine them; perhaps this is an indication that there’s an even bigger surprise in store when it comes to the behavior of the overall Universe.
Unfortunately, the situation is not very clear right now, indicating that it will take superior data to show us the way. Fortunately, with Euclid and SphereX both in space, and with NASA’s Roman and NSF’s Rubin observatories poised to reveal even richer data sets than DESI is capable of, that needed, critical data may soon be in hand. If we want to know what’s truly happening with the various forms of energy in the expanding Universe, surpassing our current limitations is key. Perhaps, when the new data comes in, we’ll see enough to figure out just what the root of all these tensions truly is. Evolving dark energy is an intriguing possibility, but it isn’t a sure thing just yet.